淺談光儲充一體化居民小區的有序充電策略及解決方案
2025-12-05
[28]
安科瑞 劉邁
摘要:針對當前有序充電策略優化目標單一且未考慮新能源出力的現狀,提出了面向光儲充一體化社區的有序充電策略。首先,將降低社區負荷峰谷差作為電網層優化目標,將減少用戶充電費用作為用戶層優化目標,完成雙層多目標有序充電模型的設計。其次,設計基于云邊協同的調度架構,將電網層優化模型部署在云端側,用戶層優化模型部署在邊緣側。該架構能有效利用邊緣側的計算資源,緩解云端側面對電動汽車大規模接入時的計算壓力。以5種充電場景為例進行算例分析。實驗表明,與無序充電相比,所提策略能夠使社區負荷峰谷差減少40.47%,充電均價減少52.63%。與單層有序充電策略相比,該策略綜合效果優勢明顯,在保障配電網安全穩定運行的同時,兼顧電動汽車用戶的經濟利益。
關鍵詞:光儲充一體化社區;有序充電;雙層多目標優化模型;云邊協同;電動汽車
0引言
近年來,隨著全球經濟的快速發展,大量化石能源被開采使用,對環境造成污染,而電動汽車因具有環保、低碳等優點得以快速發展,據《電動汽車發展戰略研究報告》數據預測,2030年我國電動汽車保有量將達到6000萬輛。電動汽車數量的增加可以有效減少對傳統能源的使用,但電動汽車大量接入電網勢必會帶來諸多影響,如加劇負荷波動、增大負荷峰谷差、減少電網設備壽命等。因此研究電動汽車有序充電策略具有重要意義和實用價值。
目前,國內外已經針對電動汽車有序充電策略開展了相關研究。以變壓器容量等為約束條件、以充電站經營成本低為目標建立有序充電模型。在分時電價的基礎上,提出一種基于動態分時電價的電動汽車有序充電方法,引導車主有序充電,平抑配電網負荷波動。以上研究僅針對單一目標進行優化,未考慮多方利益。充分考慮到用戶多方面需求,提出了基于優劣解距離法的電動汽車有序充電優化策略,該策略既能節約用戶充電成本,又能實現電力負荷削峰填谷的目標。以配電網與充電站交互功率、充電站運營收益兩方面為目標,建立充電站調度模型,減小電池的損耗與放電成本。但上述研究都未考慮新能源出力的情況。針對分布式能源出力具有隨機性等問題,構建了多目標兩階段優化模型,平抑了分布式能源出力波動,同時降低了用戶充電成本。針對電動汽車的入網問題,提出了含分布式電源和電動汽車充電的優化重構模型,在IEEE33節點標準配電系統中進行仿真驗證。但上述研究未考慮加入儲能裝置提高分布式能源的就地消納。借助住宅小區的有序充電控制系統,利用分時電價調節電動汽車充電負荷,達到用戶側和電網側利益的目的,但文中的集中式調度架構在面對大規模電動汽車接入時,容易因計算量大而導致響應速度慢等問題。
綜上所述,現有研究存在以下問題:1)優化目標單一,缺乏對用戶、電網等多方面利益的考慮;2)沒有考慮加入分布式能源和儲能設備來提高用戶響應策略的積極性和分布式能源的就地消納;3)現有的集中式調度架構在大規模電動汽車接入的情況下,存在計算資源緊張、響應速度慢的問題。鑒于上述問題,本文針對包含光伏單元和儲能單元的社區,以光儲充一體化社區為例,提出了一種基于鼠群優化算法(ratswarmoptimizer,RSO)的雙層多目標有序充電策略,在光伏充分消納的情況下,考慮用戶側和電網側的利益,有助于負荷的削峰填谷,降低峰谷差,同時減少充電費用。此外設計了基于云邊協同的調度架構,有效利用邊緣側的計算能力,降低云端側面對大規模數據的計算壓力。
1光儲充一體化社區無序充電分析
1.1光儲充一體化社區系統結構
如圖1所示,光儲充一體化社區系統由光伏單元、儲能單元和變壓器等組成。其中箭頭表示電能的流向,光伏單元和電網提供電能,充電樁和常規負荷消耗電能。其中儲能單元比較特殊,既能提供電能,也能消耗電能,為了后續簡化充電模型,把儲能單元看作負荷消耗電能,計算時儲能單元若處于充電狀態,則功率為正,反之功率為負。

圖1光儲充一體化社區系統結構
當光伏出力大于充電負荷時,光伏單元先對充電樁供電,其次向儲能單元供電,若有富余再流向常規負荷;當光伏出力小于充電負荷時,儲能單元對充電樁進行供電,充電負荷的差額由電網提供。
1.2社區無序充電負荷模型
單個居民的充電行為是隨機的和無序的,但從整體而言,充電規律會受到社區居民生活習慣和出行規律的影響。本文以2017年美國交通部對全美家用轎車出行的統計結果為依據,并結合中美出行時段差異做了一定程度的調整,使之更符合我國居民用戶的出行情況。
調整之后居民回家時間的概率密度函數為

式中:xs為居民回家時間;期望值?s?18.74;標準差? s? 3.41。假設居民回家就開始充電,即可以把回家時間看作電動汽車開始充電時間。調整之后居民離家時間的概率密度函數為

式中:xe為居民離家時間;期望值?e? 7.92;標準差? e? 3.24。假設居民離家才結束充電,即可以把離家時間看作電動汽車結束充電時間。
電動汽車日行駛里程的概率密度函數為

式中:d為電動汽車日行駛里程;期望值?d? 3.2;標準差? d?0.88。
居民出行規律概率密度分布如圖2所示。

圖2居民出行規律概率密度分布
從圖2可以看出:電動汽車開始充電時間集中在16:00—21:00,結束充電時間集中在06:00—10:00,日行駛里程集中在50km以內。
1.3無序充電負荷模擬
本文采用蒙特卡洛法模擬社區居民的無序充電行為。假設電動汽車每天充電一次,直到充滿為止,整個充電過程近似為恒功率充電,并選擇更適合社區的常規充電方式。電動汽車無序充電負荷模擬流程如圖3所示,具體步驟如下。

圖3無序充電負荷模擬流程
1)輸入大仿真次數和電動汽車總數量,并進行初始化;
2)根據前文提到的概率模型,隨機生成車主充電開始時間、結束時間和日行駛里程;
3)結合電動汽車相關參數計算得到充電電量,并累加得到充電負荷;
4)當完成所有電動汽車充電負荷的計算后,進行下一次仿真,仿真次數達到大值后,取平均值輸出電動汽車無序充電負荷曲線。
1.4社區無序充電仿真分析
社區電動汽車無序充電負荷和儲能單元、光伏單元出力情況如圖4(a)所示,三者再和社區常規負荷疊加得到無序充電下的社區負荷,如圖4(b)所示。
從圖4中可以看出:光伏單元出力時間集中在在08:00—17:00,期間光伏發電量可以覆蓋充電負荷和儲能單元的消耗,剩下的再供給社區常規負荷使用,無須上網,減少傳輸時的損耗,實現就地消納。但充電負荷集中的時間段正好是常規負荷的高峰時間段,容易“峰上加峰",進一步增加峰谷差,加劇電網負荷波動。此時儲能單元可以放電,對充電樁供電,降低負荷峰值。

圖4無序充電仿真結果
在18:00—22:00這一時間段,社區負荷已經超過變壓器有功功率上限,使變壓器處于過載狀態,損害其使用壽命。和普通社區相比,光儲充一體化社區的負荷峰值有一定程度降低,但仍未解決社區負荷越限和波動大的問題,影響居民的安全用電,亟需對電動汽車充電行為開展有序調度研究。
2基于鼠群優化算法的雙層多目標有序充電策略
2.1雙層多目標有序充電策略
本策略提出了社區負荷峰谷差和用戶充電費用小的雙層多目標優化模型。一層是電網層,將降低社區負荷峰谷差作為優化目標;二層是用戶層,將減少用戶充電費用作為優化目標,并把電網層優化結果作為本層優化模型的約束條件,減少用戶充電費用,同時考慮社區負荷平穩性。雙層多目標有序充電策略具體流程如圖5所示。

圖5雙層多目標有序充電策略流程
1)獲取未來24h社區常規負荷和光伏出力預測數據,動態獲取用戶充電信息,包括開始充電時間、結束充電時間、充電量等;
2)當某時段有新車接入或用戶改變充電信息時,電網層根據社區負荷峰谷差小的優化目標求解并輸出用戶開始充電時間、光伏的充放電功率和充電負荷;
3)電網層輸出的充電負荷作為用戶層優化模型的約束條件,用戶層根據用戶充電費用小的優化目標求解并輸出用戶開始充電時間、光伏的充放電功率;
4)重復步驟2)和3),達到大迭代次數,輸出新的充電計劃;
5)若沒有新車接入或用戶改變充電信息,則遵循上一時段充電計劃;
6)重復步驟2)—步驟5),直到優化時段達到大時段數。
2.2電網層優化模型
2.2.1目標函數
電網層的優化目標是降低社區負荷峰谷差,目標函數為

式中,Pall為總負荷。
2.2.2約束條件
1)功率平衡約束

式中:Ppva為光伏出力功率;Pc為充電負荷;Pg為常規負荷;Ps為儲能單元充放電功率。
2)總負荷限制約束

式中:Pmax為社區變壓器的大有功功率;PR為社區變壓器的額定容量;?R為功率因數。式(6)代表社區總負荷不能超過社區變壓器的大有功功率。
3)用戶充電需求約束
充電時間約束為

式中:Timin為i輛電動汽車充滿電的短時間,即按大功率進行充電需要的時間;Tineedi輛電動汽車充滿電需要的充電時長;T imax為/輛電動汽車的長充電時間,即車主回家到離家之間的時間;S ?st為i輛電動汽車開始充電時的電池荷電狀態;di為i輛電動汽車的日行駛里程;E100為電動汽車百公里耗電量;B為電池的額定容量;Pcs為充電樁的額定充電功率。
電池電量約束為

式中,Siend為i輛電動汽車結束充電時電池的荷電狀態。
儲能單元約束
儲能單元充放電功率約束為

式中,Psmax為大充放電功率。
儲能單元容量約束為

式中:Bcmax為儲能單元大容量;Bc為儲能單元實際容量。
2.3用戶層優化模型
2.3.1目標函數
社區的電力來自光伏單元和配電網,充電費用也來自這兩部分,其余充電設施建設的費用暫不考慮,充電費用目標函數為

式中:Pipvc為i個時段的光伏單元在電動汽車和儲能單元上的輸出功率;Rpv為光伏的單位發電成本;P為i個時段電網在電動汽車和儲能單元上的輸出功率;Ri為i個時段的分時電價;?t為單位時段;Pipva為i個時段的光伏出力功率;Pic為i個時段的充電負荷;Pis為i個時段的儲能單元充放電功率。
2.3.2約束條件

式中Pic1為電網層輸出i個時段的充電負荷;Pic2為用戶層輸出i個時段的充電負荷。
其余約束條件和2.2.2節相同。
2.4優化模型求解方法
電動汽車雙層多目標有序充電優化模型優化對象眾多,且存在多個約束條件,傳統方法求解困難。本文采用鼠群優化算法進行求解。鼠群優化算法是一種新型群智能優化算法,在局部搜索和全局搜索之間實現動態平衡,避免了粒子群算法容易陷入局部優的問題。
鼠群優化算法通過模擬鼠群的捕食行為,將鼠群的捕食行為分為兩個過程——追逐獵物和攻擊獵物,并進行數學建模。
在鼠群追逐獵物過程中,假設鼠群中的優個體知道獵物的位置,鼠群中的其他個體便可以通過優個體來更新自己的位置,更新策略如式(18)和式(20)所示。

式中:Pti為獵物對于i只老鼠來說的位置;A為自身權重;Xti為i只老鼠;xtbest
為鼠群中的優個體;t為當前迭代次數;C為0~2之間的隨機數;R為1~5之間的隨機數。
在攻擊獵物過程中,算法從數學上定義老鼠與獵物的打斗過程,老鼠位置更新公式為

式中,Xit+1是i只老鼠在下一次迭代中的位置。
鼠群優化算法通過模擬鼠群追逐獵物和攻擊獵物的行為,并通過調整式(18)中的參數A和C使老鼠到達不同的位置,完成對搜索空間的搜索。本文利用鼠群優化算法對優化模型進行求解,得到優充電計劃,包含電動汽車開始充電時間和儲能單元充放電功率,具體流程如圖6所示。

圖6鼠群優化算法流程
2.5基于云邊協同的調度架構
目前電動汽車有序充電調度主要采取集中式調度架構,但在面對大規模電動汽車接入電網時,云主站往往會因為數據龐大導致計算時間過長,甚至出現錯誤。對此,在配電網“云管邊端"的建設模式基礎上,基于云邊協同設計有序充電調度架構,如圖7所示。

圖7基于云邊協同的調度架構
基于云邊協同的調度架構由感知端側、邊緣側和云端側構成,具體調度流程如下。
1)用戶通過手機APP將預設充電開始時間、結束時間等充電信息發送給云平臺;
2)云主站從云平臺獲取用戶充電信息,從智能融合終端獲取儲能單元和充電樁的狀態信息,并匯集未來24h的光伏出力、社區負荷預測數據;
3)云主站內電網層優化模型求解得到電動汽車開始充電時間、儲能單元充放電功率和充電負荷,然后將參數下發至邊緣側;
4)智能融合終端內部署用戶層優化模型,接收參數并進行求解,并將參數上傳回云端側;
5)重復步驟3)和4),直到達到設置的大迭代次數,輸出充電計劃;
6)智能融合終端內有序充電APP將充電計劃控制指令下發到感知端側設備。
3算例分析
3.1參數設置
本文以湖南某光儲充一體化社區為研究對象,其中詳細參數如下。
1)光伏單元容量200kW,平均發電成本為0.35元/kWh。
2)儲能單元容量為200kWh,大充放電功率為50kW/h,大放電深度為90%。
3)配電網變壓器額定容量為1000kVA,功率因數為0.9。
4)社區內有300戶居民,假設每戶一輛車,且擁有電動汽車的用戶配置一個充電樁;電動汽車滲透率為50%,即電動汽車150輛。單臺電動汽車電池額定容量為50kWh,類型為鋰電池,百公里耗電量為25kWh;充電樁額定充電功率為7kW/h。
以1h為時間間隔,即?t=1,當地分時電價如表1所示。

3.2結果分析
本文以普通社區無序充電、光儲充一體化社區無序充電、電網層有序充電、用戶層有序充電、雙層多目標有序充電等5種充電場景為例進行仿真分析。
1)5種充電場景下充電負荷和社區負荷
普通社區無序充電和光儲充一體化社區無序充電的仿真結果見圖4,由圖4中可以看出,社區雖然配備了光儲單元,但在無序充電下仍然無法有效解決社區負荷越限和波動大的問題。
電網層有序充電、用戶層有序充電和雙層多目標有序充電的仿真結果如圖8—圖10所示。


圖8電網層有序充電
由圖8可以看出:電網層有序充電可以在保證用戶正常充電需求的情況下,將充電負荷轉移到電價低谷時期,從而實現削峰填谷。但隨著接入電動汽車數量的增加,勢必會將更多的充電負荷轉移到電價平時段,增加充電費用,降低用戶響應有序充電策略的積極性。

圖9用戶層有序充電
由圖9可以看出:用戶層有序充電同樣可以在保證用戶正常充電需求的情況下,將充電負荷轉移到電價低谷時段和光伏出力時段,從而減少充電費用。此外,儲能單元也可以保障電價高峰時段零星的充電需求,但充電負荷容易在電價低谷時段形成新的高峰,加劇負荷的波動,影響電網的正常運行。

圖10雙層多目標有序充電
由圖10可以看出:雙層多目標有序充電的充電負荷分布范圍更大,既能充分發揮充電負荷削峰填谷的作用,降低負荷峰谷差,也能減少用戶充電費用。
2)5種充電場景下負荷波動對比分析
對社區電動汽車執行無序和有序充電策略的社區負荷情況進行對比分析,具體數據如表2所示。

由表2可以看出:無序充電時,由于“峰上加峰"的現象,社區負荷超過變壓器的有功功率上限,使變壓器處于過載狀態,負荷峰值和峰谷差率分別達到970.89kW和54.25%。光儲充一體化社區依靠光伏系統和儲能系統雖然能降低負荷峰值和峰谷差率,分別減少了45.23kW和2.23%,但依然不能解決社區負荷越限問題。
而3種有序充電策略均能有效降低負荷峰谷差,且負荷峰值都未超過上限900kW,其中電網層有序充電和雙層多目標有序充電效果較好,和光儲充一體化社區無序充電相比,峰谷差分別降低了223.34kW和194.89kW,峰谷差率分別降低了20.81%和17.37%。
3)5種充電場景下用戶充電費用對比分析
對社區電動汽車執行無序和有序充電策略的社區充電情況進行對比分析,具體數據如表3所示。

結合圖4、圖8—圖10,由表3可以看出:在無序充電情況下,充電負荷主要集中在電價高峰時段和平時段,充電費用較高;在有序充電情況下,將充電負荷有效轉移到電價低谷時段和光伏出力時段,充電費用較低。其中,用戶層有序充電和雙層多目標有序充電效果較好,和光儲充一體化社區無序充電相比,充電均價分別降低了0.43元/kWh和0.4元/kWh。
3種有序充電策略均能取得不錯的效果,但用戶層有序充電容易使社區總負荷在電價低谷時段形成新的峰,不利于減少峰谷差。電網層有序充電僅考慮了配電網的穩定性,忽略了用戶的用電成本需求,容易降低用戶的響應積極性。而雙層多目標有序充電在降低負荷峰谷差和減少用戶充電費用方面都能取得令人滿意的效果,該策略在降低社區負荷波動性、保障配電網安全運行的同時,提高了用戶的經濟效益和響應策略的積極性。
4解決方案

圖11平臺結構圖
充電運營管理平臺是基于物聯網和大數據技術的充電設施管理系統,可以實現對充電樁的監控、調度和管理,提高充電樁的利用率和充電效率,提升用戶的充電體驗和服務質量。用戶可以通過APP或小程序提前預約充電,避免在充電站排隊等待的情況,同時也能為充電站提供更準確的充電需求數據,方便后續的調度和管理。通過平臺可對充電樁的功率、電壓、電流等參數進行實時監控,及時發現和處理充電樁故障和異常情況對充電樁的功率進行控制和管理,確保充電樁在合理的功率范圍內充電,避免對電網造成過大的負荷。
5安科瑞充電樁云平臺具體的功能
平臺除了對充電樁的監控外,還對充電站的光伏發電系統、儲能系統以及供電系統進行集中監控和統一協調管理,提高充電站的運行可靠性,降低運營成本,平臺系統架構如圖所示。

圖12充電樁運營管理平臺系統架構
大屏顯示:展示充電站設備統計、使用率排行、運營統計圖表、節碳量統計等數據。

圖13大屏展示界面
站點監控:顯示設備實時狀態、設備列表、設備日志、設備狀態統計等功能。

圖14站點監控界面
設備監控:顯示設備實時信息、配套設備狀態、設備實時曲線、關聯訂單信息、充電功率曲線等。

圖15設備監控界面
運營趨勢統計:顯示運營信息查詢、站點對比曲線、日月年報表、站點對比列表等功能。

圖16運營趨勢界面
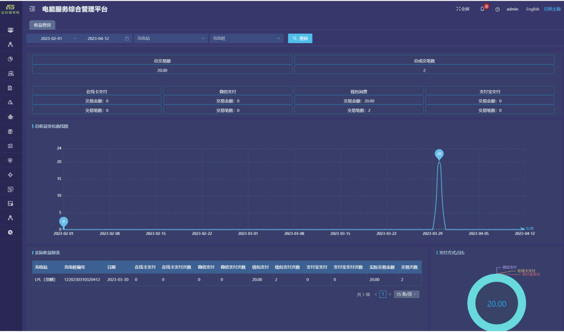
收益查詢:提供收益匯總、實際收益報表、收益變化曲線、支付方式占比等功能。

圖17收益查詢界面
故障分析:提供故障匯總、故障狀態餅圖、故障趨勢分析、故障類型餅圖等功能。

圖18故障分析界面
訂單記錄:提供實時/歷史訂單查詢、訂單終止、訂單詳情、訂單導出、運營商應收信息、充電明細、交易流水查詢、充值余額明細等功能。

圖19訂單查詢界面
6產品選型
安科瑞為廣大用戶提供慢充和快充兩種充電方式,便攜式、壁掛式、落地式等多種類型的充電樁,包含智能7kw/21kw交流充電樁,30kw直流充電樁,60kw/80kw/120kw/180kw直流一體式充電樁來滿足新能源汽車行業快速、經濟、智能運營管理的市場需求。實現對動力電池快速、高效、安全、合理的電量補給,同時為提高公共充電樁的效率和實用性,具有有智能監測:充電樁智能控制器對充電樁具備測量、控制與保護的功能;智能計量:輸出配置智能電能表,進行充電計量,具備完善的通信功能;云平臺:具備連接云平臺的功能,可以實現實時監控,財務報表分析等等;遠程升級:具備完善的通訊功能,可遠程對設備軟件進行升級;保護功能:具備防雷保護、過載保護、短路保護,漏電保護和接地保護等功能;適配車型:滿足國標充電接口,適配所有符合國標的電動汽車,適應不同車型的不同功率。下面是具體產品的型號和技術參數。



7現場圖片


8結論
光儲充一體化社區雖然可以提高光伏的就地消納,降低社區負荷峰值,但仍存在社區負荷的越限問題。對此提出了基于鼠群優化算法的雙層多目標有序充電策略,該策略滿足了電網層和用戶層的雙方利益,不僅可以減少社區負荷峰谷差,還能降低用戶充電費用。同時基于云邊協同的調度架構充分利用云端側和邊緣側的計算資源,可以應對電動汽車大規模接入的情況。根據算例分析,該策略取得的綜合效果明顯優于無序充電和單層有序充電策略,起到了削峰填谷、節約用戶充電費用的作用,保障了電網的安全、穩定運行。
本文未考慮到不同電動汽車型號、電池類型等因素,此外僅考慮社區有序充電場景,后續將展開進一步研究,使該策略更具實用性和擴展性。
參考文獻
[1]康童,朱吉然,馮楚瑞,范敏,任磊,唐海國.面向光儲充一體化社區的有序充電策略研究
[2]張延宇,饒新朋,周書奎,等.基于深度強化學習的電動汽車充電調度算法研究進展[J].電力系統保護與控制,2022,50(16):179-187.
[3]李景麗,時永凱,張琳娟,等.考慮電動汽車有序充電的光儲充電站儲能容量優化策略[J].電力系統保護與控制,2021,49(7):94-102.
[4]鄧慧瓊,張曉飛,曾凡淦,等.動態分時電價機制下的電動汽車充放電調度策略研究[J].智慧電力,2023,51(3):59-66,78.
[5]安科瑞企業微電網設計與應用手冊2022.5版.

